Welcome :: Homework Help and Answers :: Mathskey.com

Recent Visits

    
Welcome to Mathskey.com Question & Answers Community. Ask any math/science homework question and receive answers from other members of the community.

13,459 questions

17,854 answers

1,446 comments

885,452 users

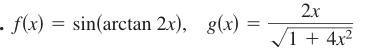
use a graphing utility to graph and in the same viewing window

0 votes

 use a graphing utility to graph and  in the same viewing window to verify that the two functions are equal. Explain why they are equal. Identify any asymptotes of the graphs.

asked Jan 19, 2015 in TRIGONOMETRY by anonymous

1 Answer

0 votes

Step 1:

The functions are and  .

Let 

From Pythagorean theorem,

Step 2:

Substitute

The functions are equal.

Step 3:

Find the asymptotes of  image.

Find the vertical asymptotes by solving zeros of denominator.

image

image

image

image

image

Since the roots are imaginary,  there is no vertical asymptotes.

 

To find horizontal asymptote, first find the degree of the numerator and  the degree of denominator.

Degree of the numerator = 1 and the degree of denominator = 1.

Since the degree of the numerator is equal to the degree of the denominator,horizontal asymptote is the ratio of the leading coefficient of numerator and denominator.

Horizontal asymptotes are at  image.

Graph :

.

answered Jan 20, 2015 by yamin_math Mentor

Related questions

...