Welcome :: Homework Help and Answers :: Mathskey.com

Recent Visits

    
Welcome to Mathskey.com Question & Answers Community. Ask any math/science homework question and receive answers from other members of the community.

13,459 questions

17,854 answers

1,446 comments

885,363 users

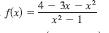
Find the derivative of the algebric function

0 votes

Find the derivative of the algebric function

asked Jan 21, 2015 in CALCULUS by anonymous

1 Answer

0 votes

Step 1 :

The function is .

Differentiate image  with respect to x:

image

Use quotient rule : image.

 

The derivative of the function image :

Solution :

answered Jan 21, 2015 by Thomas Apprentice

Related questions

asked Jan 22, 2015 in CALCULUS by anonymous
asked Jan 22, 2015 in CALCULUS by anonymous
asked Jan 21, 2015 in CALCULUS by anonymous
asked Aug 11, 2014 in CALCULUS by anonymous
...