Welcome :: Homework Help and Answers :: Mathskey.com

Recent Visits

    
Welcome to Mathskey.com Question & Answers Community. Ask any math/science homework question and receive answers from other members of the community.

13,459 questions

17,854 answers

1,446 comments

885,363 users

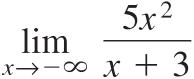
Find the limit.

0 votes

Find the limit.

asked Jan 24, 2015 in CALCULUS by anonymous

1 Answer

0 votes

Step 1 :

The expression is image.

image

Evaluate the limits.

image

image.

Solution :

image.

answered Jan 24, 2015 by lilly Expert

Related questions

asked Jan 27, 2015 in CALCULUS by anonymous
asked Jan 24, 2015 in CALCULUS by anonymous
asked Feb 24, 2015 in CALCULUS by anonymous
asked Jan 27, 2015 in CALCULUS by anonymous
asked Jan 26, 2015 in CALCULUS by anonymous
...