Welcome :: Homework Help and Answers :: Mathskey.com

Recent Visits

    
Welcome to Mathskey.com Question & Answers Community. Ask any math/science homework question and receive answers from other members of the community.

13,459 questions

17,854 answers

1,446 comments

885,114 users

Solve the system of equations using matrices (row operations).If the system has no solution,say that it is inconsistent.

0 votes

Solve the system of equations using matrices (row operations).If the system has no solution,say that it is inconsistent.

asked Feb 11, 2015 in PRECALCULUS by anonymous

1 Answer

0 votes

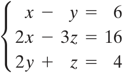
Step 1:

The system of equations is

image

Definition of augment matrix :

If image are the system of equations then the augmented matrix is image.

Augment matrix of the system of equations is

image

Apply image.

image

Apply image.

image

Step 2:

Number of variables image.

Rank of the Matrix image is 3.

Rank of the augmented matrix image is 3.

Rank of image = Rank of image = image, the system has unique solution.

Solutions of system of equations are

image

image

image

Substitute image in image, then

image

Substitute image and image in image.

image

The solutions of system of equations are image.

Solution:

Unique solutions.

The solutions of system of equations are image.

answered Feb 12, 2015 by Lucy Mentor

Related questions

...