Welcome :: Homework Help and Answers :: Mathskey.com

Recent Visits

    
Welcome to Mathskey.com Question & Answers Community. Ask any math/science homework question and receive answers from other members of the community.

13,459 questions

17,854 answers

1,446 comments

888,385 users

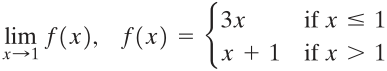
Graph the function.Use the graph to find the indicated limit,if it exists.

0 votes

Graph the function.Use the graph to find the indicated limit,if it exists.

asked Feb 16, 2015 in PRECALCULUS by anonymous
reshown Feb 16, 2015 by goushi

1 Answer

0 votes

Step 1:

The function is .

Find .

Graph the function:

Observe the graph:

As image tends to 1 from left hand side, image approaches to 3.

As image tends to 1 from right hand side, image approaches to 2.

Since the right hand limit and left hand limit are not equal, limit does not exist.

Limit does not exist at image.

Solution:

Limit does not exist at image.

answered Feb 23, 2015 by Lucy Mentor

Related questions

asked Jan 19, 2015 in CALCULUS by anonymous
asked Jan 10, 2015 in CALCULUS by anonymous
asked Feb 16, 2015 in PRECALCULUS by anonymous
...