Welcome :: Homework Help and Answers :: Mathskey.com

Recent Visits

    
Welcome to Mathskey.com Question & Answers Community. Ask any math/science homework question and receive answers from other members of the community.

13,459 questions

17,854 answers

1,446 comments

885,371 users

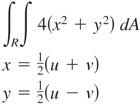
Use the indicated change of variables to evaluate the double integral.

0 votes

Use the indicated change of variables to evaluate the double integral.

asked Feb 18, 2015 in CALCULUS by anonymous
edited Feb 24, 2015 by steve

1 Answer

0 votes

Step 1:

Formula:

image

The change of variables are and .

Find the Jacobian :

Step 2:

image

Find the limits by using graph.

The equations are .

By solving given two equations, image and image.

Solution of the equations (1) and (2).

image

Solution of the equations (3) and (4).

image

The bounds for region in the plane and .

Step 3:

image

image

image

image

image

image

image

image

image

image

image

image

Solution:

image.

answered Feb 25, 2015 by david Expert

Related questions

asked Jun 15, 2017 in CALCULUS by anonymous
asked Jul 21, 2015 in CALCULUS by anonymous
asked Jul 14, 2015 in CALCULUS by anonymous
...