Welcome :: Homework Help and Answers :: Mathskey.com

Recent Visits

    
Welcome to Mathskey.com Question & Answers Community. Ask any math/science homework question and receive answers from other members of the community.

13,459 questions

17,854 answers

1,446 comments

885,123 users

Integration problem

0 votes

Solve step by step:

 

asked May 3, 2015 in CALCULUS by anonymous

1 Answer

0 votes

Step 1:

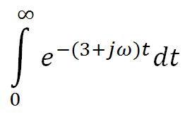
The integral is image.

Consider image as constant.

Integral of exponential function : image.

image

image

Solution :

image

answered May 4, 2015 by Lucy Mentor

Related questions

asked Jul 6, 2015 in CALCULUS by anonymous
asked Mar 11, 2016 in CALCULUS by anonymous
asked Jul 5, 2015 in CALCULUS by anonymous
asked Jul 5, 2015 in CALCULUS by anonymous
asked Jul 3, 2015 in CALCULUS by anonymous
asked Jun 28, 2015 in CALCULUS by anonymous
asked Dec 23, 2014 in CALCULUS by anonymous
asked Dec 23, 2014 in CALCULUS by anonymous
asked Dec 20, 2014 in CALCULUS by anonymous
asked Nov 28, 2014 in CALCULUS by anonymous
asked Nov 27, 2014 in CALCULUS by anonymous
asked Nov 23, 2014 in CALCULUS by anonymous
asked Nov 22, 2014 in CALCULUS by anonymous
...