Welcome :: Homework Help and Answers :: Mathskey.com

Recent Visits

    
Welcome to Mathskey.com Question & Answers Community. Ask any math/science homework question and receive answers from other members of the community.

13,459 questions

17,854 answers

1,446 comments

885,348 users

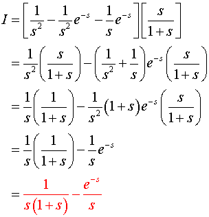
Expanding, simplifying fractions

0 votes

asked Oct 19, 2017 in CALCULUS by MathGuy Novice

1 Answer

0 votes

Please find the solution.

answered Oct 19, 2017 by homeworkhelp Mentor
reshown Oct 19, 2017 by bradely

Related questions

asked Dec 24, 2016 in ALGEBRA 1 by anonymous
asked Oct 18, 2016 in CALCULUS by anonymous
...