Welcome :: Homework Help and Answers :: Mathskey.com

Recent Visits

    
Welcome to Mathskey.com Question & Answers Community. Ask any math/science homework question and receive answers from other members of the community.

13,459 questions

17,854 answers

1,446 comments

885,203 users

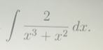
Evaluate the integral

0 votes

Evaluate the integral

asked Sep 20, 2018 in PRECALCULUS by anonymous
reshown Sep 20, 2018 by bradely

Please log in or register to answer this question.

Related questions

asked Jan 29, 2015 in CALCULUS by anonymous
asked Jan 29, 2015 in CALCULUS by anonymous
asked Jan 29, 2015 in CALCULUS by anonymous
...