Welcome :: Homework Help and Answers :: Mathskey.com

Recent Visits

    
Welcome to Mathskey.com Question & Answers Community. Ask any math/science homework question and receive answers from other members of the community.

13,459 questions

17,854 answers

1,446 comments

885,422 users

Pre Calculus Evaluating HELP?

0 votes

Please show all the work out (if possible) 
Thank you!

asked Aug 9, 2014 in ALGEBRA 1 by anonymous

1 Answer

0 votes

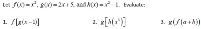
The functions are  f(x) = x2 , g(x) = 2x + 5 and h(x) = x2 - 1

1) f[g(x - 1)]

g(x) = 2x + 5

g(x - 1) = 2(x - 1) + 5 = 2x - 2 + 5 = 2x  + 3

f[g(x - 1)] = f(2x + 3)

               = (2x + 3)2

              = 4x2 + 9 + 12x

f[g(x - 1)] = 4x2 + 9 + 12x

2) g[h(x3 )]

h(x) = x2 - 1

h(x3 ) = (x3 )2 - 1 = x6 - 1

g[h(x3 )] = g(x6 - 1)

             = 2(x6 - 1) + 5

            = 2x6 - 2 + 5

            = 2x6 + 3

g[h(x3 )] = 2x6 + 3

3) g(f(a + h))

f(x) = x2

f(a + h) = (a + h)2

g(f(a + h)) = g((a + h)2 )

                = 2[(a + h)2]+ 5

                = 2[a2 + h2 + 2ah] + 5

               = 2a2 + 2h2 + 4ah + 5

g(f(a + h)) = 2a2 + 2h2 + 4ah + 5

answered Aug 9, 2014 by david Expert

Related questions

asked Sep 10, 2014 in PRECALCULUS by anonymous
asked Jul 19, 2014 in PRECALCULUS by anonymous
asked Nov 3, 2014 in TRIGONOMETRY by anonymous
asked Oct 11, 2014 in ALGEBRA 1 by anonymous
asked Sep 30, 2014 in ALGEBRA 1 by anonymous
...