Welcome :: Homework Help and Answers :: Mathskey.com

Recent Visits

    
Welcome to Mathskey.com Question & Answers Community. Ask any math/science homework question and receive answers from other members of the community.

13,459 questions

17,854 answers

1,446 comments

885,219 users

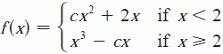
For what value of the constant c is the function f continuous on (- ∞ , ∞ )?

0 votes

For what value of the constant c is the function f continuous on (- ∞ , ∞ )?

asked Jan 10, 2015 in CALCULUS by anonymous

1 Answer

0 votes

Step 1:

The function .

The function is continuous on .

For a limit to exist, the left hand limit is always equal to right hand limit.

Consider the left hand limit  .

Consider the right hand limit .

Step 2:

For a limit to exist, .

image

The value of image is image.

Solution:

The value of image is image.

answered Jan 10, 2015 by Sammi Mentor

Related questions

asked Sep 29, 2018 in ALGEBRA 1 by anonymous
...