Welcome :: Homework Help and Answers :: Mathskey.com

Recent Visits

    
Welcome to Mathskey.com Question & Answers Community. Ask any math/science homework question and receive answers from other members of the community.

13,459 questions

17,854 answers

1,446 comments

885,131 users

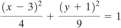
Analyze the equation; that is, find the center, foci, and vertices of the given ellipse. Graph the equation.

0 votes

Analyze the equation; that is, find the center, foci, and vertices of the given ellipse. Graph the equation.

asked Feb 2, 2015 in PRECALCULUS by anonymous

1 Answer

0 votes

Step 1:

The equation is .

Compare it to standard form of  the ellipse equation is .

Here , so major axis is parallel to axis.

Where,

is the center of the ellipse.

is the length of the semi major axis.

is the length of the semi minor axis.

is the distance between center and focus.

.

Step 2:

The center of the ellipse is .

The vertices of the ellipse are .

The foci of the ellipse are .

The end points of the minor axis is

Graph :

(1) Draw the coordinate plane.

(2) Plot the center, foci and vertices.

(3) Draw the equation of the ellipse.

image

Solution :

The center of the ellipse is .

The vertices of the ellipse are image.

The foci of the ellipse are image.

Graph of the ellipse :

image

answered Feb 7, 2015 by joseph Apprentice
reshown Feb 8, 2015 by casacop

Related questions

...