Welcome :: Homework Help and Answers :: Mathskey.com

Recent Visits

    
Welcome to Mathskey.com Question & Answers Community. Ask any math/science homework question and receive answers from other members of the community.

13,459 questions

17,854 answers

1,446 comments

885,193 users

write the partial fraction decomposition of the rational expression.

0 votes

write the partial fraction decomposition of the rational expression.

asked Feb 11, 2015 in PRECALCULUS by anonymous

1 Answer

0 votes

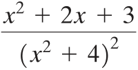
Step 1:

The partial fraction is image.

The partial fraction decomposition :

image

image

Multiply each side by image.

image

Compare  coefficients on each side.

image

Compare  coefficients on each side.

image

Compare  coefficients on each side.

image

Substitute image in the above equation.

image

Compare constants on each side.

image

Substitute image in the above equation.

image

Substitute image in the partial fraction decomposition.

image

image.

Solution :

image.

answered Feb 14, 2015 by Lucy Mentor

Related questions

asked Feb 7, 2015 in ALGEBRA 2 by anonymous
...