Welcome :: Homework Help and Answers :: Mathskey.com

Recent Visits

    
Welcome to Mathskey.com Question & Answers Community. Ask any math/science homework question and receive answers from other members of the community.

13,459 questions

17,854 answers

1,446 comments

882,608 users

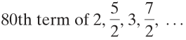
Find the indicated term in the arithmetic sequence.

0 votes

Find the indicated term in the arithmetic sequence.

asked Feb 16, 2015 in PRECALCULUS by anonymous

1 Answer

0 votes

Step 1:

The arithmetic sequence is .

The sequence is .

The first term is .

The common difference .

The formula for  term in arithmetic sequence is .

Substitute and  in .

Find term in the sequence by substituting in .

.

Solution:

term is .

answered Feb 17, 2015 by Sammi Mentor

Related questions

...