Welcome :: Homework Help and Answers :: Mathskey.com

Recent Visits

    
Welcome to Mathskey.com Question & Answers Community. Ask any math/science homework question and receive answers from other members of the community.

13,459 questions

17,854 answers

1,446 comments

885,276 users

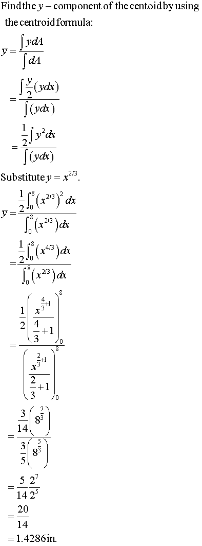
Engineering mechanics 13th edition Hibbler 9.10P

0 votes

Locate the centroid y bar of the area

asked Jul 9, 2015 in MECHANICAL ENGINEERING by anonymous

1 Answer

0 votes

Draw the elementary diagram:

Therefore, the centroid y bar of the area is 1.4286 in.

answered Jul 10, 2015 by bradely Mentor

Related questions

...