Welcome :: Homework Help and Answers :: Mathskey.com

Recent Visits

    
Welcome to Mathskey.com Question & Answers Community. Ask any math/science homework question and receive answers from other members of the community.

13,459 questions

17,854 answers

1,446 comments

885,668 users

Divide

0 votes

Divide

asked Oct 26, 2018 in ALGEBRA 2 by anonymous

1 Answer

0 votes

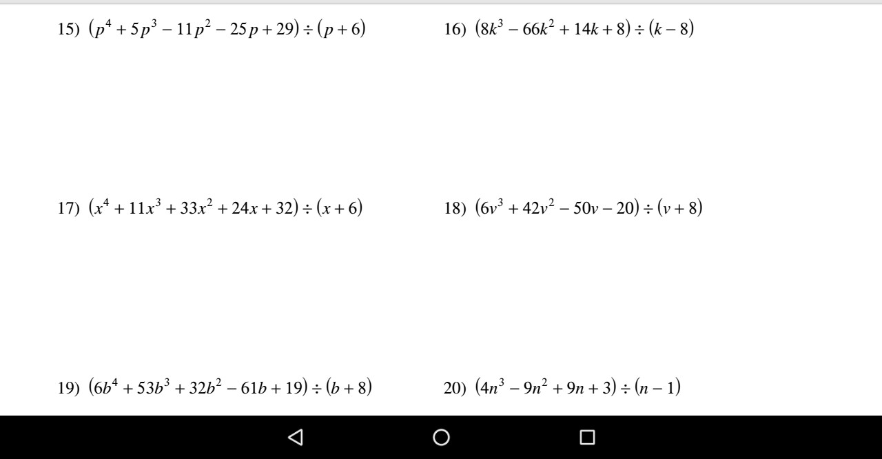
15)

p + 6 )  p^4 + 5p^3 - 11p^2 - 25p + 29  ( p^3 - p^2 - 5p + 5

            p^4 + 6p^3

           (-)    (-)

       ---------------------------------

                   - p^3 - 11p^2

                  - p^3 - 6p^2

                  (+)    (+)

              -------------------------------

                          - 5p^2 - 25p

                          - 5p^2 - 30p

                            (+)    (+)

                       ----------------------------

                                       5p + 29

                                       5p + 30

                                      (-)    (-)

                                  ------------------

                                            - 1

Quotient :  p^3 - p^2 - 5p + 5

Remainder : - 1

 

17)

x + 6 )  x^4 + 11x^3 + 33x^2 + 24x + 32  ( x^3 + 5x^2 + 3x + 6

            x^4 + 6x^3

           (-)    (-)

       ---------------------------------

                   5x^3 + 33x^2

                  5x^3 + 30x^2

                  (-)    (-)

              -------------------------------

                            3x^2 + 24x

                            3x^2 + 18x

                            (-)      (-)

                       ----------------------------

                                       6x + 32

                                       6x + 36

                                      (-)    (-)

                                  ------------------

                                            - 4

Quotient : x^3 + 5x^2 + 3x + 6

Remainder : - 4

 

19)

b + 8 )  6b^4 + 53b^3 + 32b^2 - 61b + 19  ( 6b^3 + 5b^2 - 8b + 3

            6b^4 + 48b^3

           (-)    (-)

       ---------------------------------

                   5b^3 + 32b^2

                   5b^3 + 40b^2

                (-)       (-)

              -------------------------------

                           - 8b^2 - 61b

                           - 8b^2 - 64b

                            (-)      (+)

                       ----------------------------

                                       3b + 19

                                       3b + 24

                                      (-)    (-)

                                  ------------------

                                            - 5

Quotient : 6b^3 + 5b^2 - 8b + 3

Remainder : - 5

Answer :

15)  Quotient :  p^3 - p^2 - 5p + 5

       Remainder : - 1

17)  Quotient : x^3 + 5x^2 + 3x + 6

       Remainder : - 4

19)  Quotient : 6b^3 + 5b^2 - 8b + 3

       Remainder : - 5

answered Oct 28, 2018 by homeworkhelp Mentor

Related questions

...