Welcome :: Homework Help and Answers :: Mathskey.com

Recent Visits

    
Welcome to Mathskey.com Question & Answers Community. Ask any math/science homework question and receive answers from other members of the community.

13,459 questions

17,854 answers

1,446 comments

885,219 users

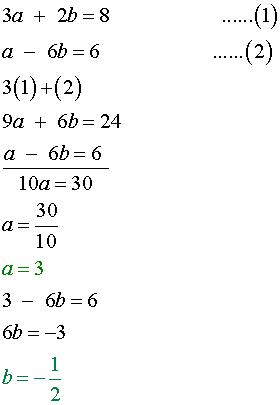
Solve the system of equations using elimination method

0 votes
3a + 2b=8

a = 6b+6
asked Oct 16, 2017 in ALGEBRA 1 by anonymous
reshown Oct 16, 2017 by bradely

1 Answer

0 votes

3a + 2b=8

a = 6b+6

Rearrange the equation 2

answered Oct 17, 2017 by lilly Expert

Related questions

...